本文へスキップ

Field-Angle Dependence of Interlayer Magnetoresistance in Organic Dirac Electron System α-(BEDT-TTF)2I3

T. Tani, N. Tajima, and A. Kobayashi, Crystals 9, 212 (2019).

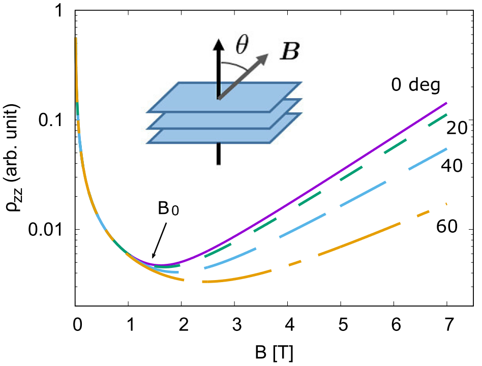
The effect of the Coulomb interaction in interlayer magnetoresistance is elucidated in collaboration with theory and experiments for the Dirac electron system in organic conductor α-(BEDT-TTF)2I3 under a strong magnetic field. It is found that the effective g-factor enhanced by Coulomb interaction depends on the angle of the magnetic field, resulting in the field-angle dependence of a characteristic magnetic field in which interlayer resistance has a minimum due to spin splitting N = 0 Landau levels. The qualitative agreement between the theory and experimental results for the field-angle dependence of interlayer magnetoresistance is obtained.

(Click figure for a larger image.)