
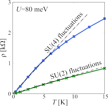
In the magic angle twisted bilayer graphene (MATBG), non-Fermi liquidlike transport phenomena are universally observed. To understand their origin, we perform the self-consistent analysis of the self-energy due to SU(4) valley + spin fluctuations induced by the electron-electron correlation. In the SU(4) fluctuation mechanism, the 15 channels of fluctuations contribute additively to the self-energy. Therefore, the SU(4) fluctuation mechanism gives much higher electrical resistance than the spin fluctuation mechanism. By the same reason, SU(4) fluctuations of intermediate strength provide T-linear resistivity down to ∼1K. Interestingly, the T-linear resistivity is robustly realized for a wide range of electron filling, even away from the van Hove filling. This study provides a strong evidence for the importance of electron-electron correlation in MATBG.